Admissions Policy
You can be admitted to non-limited access degree programs upon application by presenting an official high school graduation transcript or high school equivalency scores that meet Florida standards, provided your placement test results indicate the ability to progress successfully. Diplomas are not required for admission to most Career Certificate programs. You may be required to take a placement test prior to advisement and registration.
If you are 16 years or older and legally out of school, you may be eligible to enroll in career certificate, continuing education, or adult education programs. If you are a high school student, you may enroll in associate degrees or certificate programs provided you have met the dual enrollment and early college program requirements.
Some Career Certificate programs have limited seating while others have special admission requirements. You are responsible for being aware of the admission requirements for your desired program of study. Advising and Counseling Center staff, faculty advisors in appropriate departments, program managers, coordinators, directors, or instructional supervisors are available to discuss admission requirements and the course of study before enrolling.
The College reserves the right to refuse admission to any individual whose presence on campus has been determined by the College not to be in the best interest of the student and/or SFSC.
Admission applications and specific information about admissions are available on the DeSoto, Hardee, and Highlands campuses, Lake Placid Center, and online at southflorida.edu.
Due to limited space in some classes and programs, class registrations are handled on a first-come, first-served basis. Apply for admission and register for classes as early as possible. Some Career Certificate programs have special admission requirements and class size restrictions.
| I. |
Admission to Baccalaureate Degree Programs shall include the following criteria: |
| |
A. |
You must have earned an Associate in Science or Associate in Arts degree from a regionally accredited institution. |
| |
B. |
You must provide official transcripts from high school and all previous educational institutions attended. |
| |
C. |
If you are an international student, you must have your transcripts evaluated by any member of the National Association of Credential Evaluation Services. |
| |
D. |
If you have earned 60 semester credit hours, with a minimum cumulative GPA of 2.0 on a 4.0 scale in relevant transfer courses that apply toward the baccalaureate degree, but do not have a degree, your admission application will be evaluated case-by-case for determining admission to the baccalaureate program. |
| II. |
Admission to Associate Degree Programs shall include the following criteria: |
| |
A. |
You must have a standard high school diploma from an accredited school or a high school equivalency diploma (GED®). |
| |
B. |
If you are home schooled, a signed affidavit must be submitted by your parent or legal guardian attesting that you have completed a home education program pursuant to the requirements of prevailing Florida Statutes. |
| |
C. |
You may be required to take a placement test. The minimum scores are defined in the College Entrance Testing and Course Placement section of the College Catalog. |
| |
D. |
You must submit an official transcript(s), prior to awarding degree. |
| |
E. |
If you are an international student, you must have your transcripts evaluated by any member of the National Association of Credential Evaluation Services. |
| III. |
Admission to Certificate Programs shall include the following criteria: |
| |
A. |
You may be required to take a placement test. |
| |
B. |
If you are in a College Credit Certificate program, you must submit an official high school or GED transcript. |
| |
C. |
If you are an international student, you must have your transcripts evaluated by any member of the National Association of Credential Evaluation Services. |
| IV. |
Admission to the State of Florida High School Diploma (GED®) Program shall include the following criteria: |
| |
A. |
You must be at least 16 years of age. |
| |
B. |
You must take the complete battery of the Tests of Adult Basic Education (TABE®) 11/12 or CASAS Goals assessment. |
| |
C. |
You must register for the appropriate class based on the TABE® or Comprehensive Adult Student Assessment System (CASAS) scores. You will be enrolled in an Adult Basic Education (ABE) class if at least one subject area scale score is at or below level 4, according to the National Reporting System (NRS), and into a GED® class if the NRS scale score is at or above level 5. |
| V. |
Admission to English for Speakers of Other Languages (ESOL) Program: |
| |
A. |
You must be at least 16 years of age. |
| |
B. |
You are not enrolled or required to be enrolled in secondary school. |
| |
C. |
You want to learn to speak, read, and write the English language. |
| |
D. |
You must take the reading and listening portion of the CASAS. |
| |
E. |
You must register for the appropriate class based on CASAS scores. |
| VI. |
Admission to Limited Access Programs is a result of limited space, age, or other special requirements. You are admitted to these programs based on the date your completed program application is received and all program requirements are met. |
Application Fee
SFSC may require a non-refundable application fee for all new applicants and re-applicants. Students applying as dual enrollment, adult education, or transient will be exempt.
Admissions Procedures
Students seeking admission to the College must submit an online Application for Admission and may need to pay the application fee, if required. Students in some programs must provide relevant test scores or complete the appropriate testing, complete the mandatory new student orientation, and meet with a counselor/advisor prior to registration for classes.
New Students
| A. |
You must submit an online Application for Admission verifying that all information is correct and accurate and pay the application fee, if required. The application is available on our SFSC website at southflorida.edu. |
| B. |
If you are an independent student (24 years or older), you must complete the residency section included in the online application. If you are a dependent student (younger than 24 years), the residency section must be completed by your parent or guardian (see Resident Information). |
| C. |
To be eligible for in-state fees, you, your parent, or guardian (if you are a dependent) must provide information that shows you qualify as a bona fide resident of Florida according to Florida Statutes. You may be required to bring additional supporting documentation such as driver’s license, voter ID, vehicle registration, or tax forms. |
| D. |
The Advising and Counseling Center staff will inform you of the placement testing requirements of the program for which you are applying. |
| E. |
All applicants, except dual enrollment, early college program, and home-schooled students must send directly to the Admissions, Registration, and Records Office, 600 West College Drive, Avon Park, FL 33825 either an official copy of their high school transcript or provide a copy of their GED® diploma/scores (and GED® scores if from out-of-state). |
| F. |
Applicants seeking a certificate or degree who have attended a postsecondary institution must have an official copy of their transcript from each institution they attended sent directly to the College. |
| G. |
Applicants who can provide written proof of unusual reasons why any required record is unavailable (e.g., records destroyed by fire, home country in turmoil), may be admitted with the permission of the vice president of student services. |
| H. |
Applicants for limited access programs may be required to provide additional documentation. Limited access program applicants are referred to the department representative or program manager. |
| I. |
All new and returning students (who have not taken orientation within the past two years) are required to complete the Guide to Personal Success (GPS). Orientation is offered completely online. Instructions for completing GPS will be automatically provided to students via email as part of their application process. Students may not register for classes until all parts of the GPS orientation have been satisfactorily completed. |
If your last date of enrollment is over a year old or if you have attended another college/university since attending SFSC, you must submit a new Application for Admission. If you have changed your name or changed your program of study, you will be required to complete a Change of Information form or Change of Program form.
You will not be authorized to proceed with registration until an admissions application has been designated as “accepted.”
Early Admission Program
Early Admission is a form of dual enrollment in which qualified high school students enroll full-time at SFSC. Research provides evidence that dual enrollment increases academic performance and educational attainment. The student is no longer academically associated with the high school but course credit is transferred back to the high school for the purpose of awarding the high school diploma. Participants must enroll in a minimum of 12 credit hours but not exceed 15 credit hours. Courses must meet the high school and college degree/certificate plan requirements. Requirements to participate in the Early Admission Program are the same as those for the Dual Enrollment Program. Tuition or textbooks are provided at no cost. Students may enroll in a degree or certificate program. Some programs have limited space while others have special admission requirements. For information, contact the coordinator of admissions at 863-453-6661.
Dual Enrollment Program
Dual Enrollment is an accelerated mechanism that allows you to pursue advanced coursework in your target college major while still taking courses that meet the core requirements for high school graduation credit. Courses must apply toward an associate degree or career certificate. Courses are offered at both the high school and college campuses as well as online. You will be advised based on your personal postsecondary degree plan and monitored to ensure continued success. High school guidance staff can assist in initiating the application and registration process. Additional information may be found at southflorida.edu/future-students/dual-enrollment or consult a college counselor or advisor for more information.
If you are enrolled in the dual enrollment and early college program at DeSoto, Hardee, or Highlands county public schools and your courses meet the core requirements for high school graduation credit, you will not be charged fees for registration or books. Students enrolling as dual enrollment students must take required college credit or technical courses, may be part time or full time depending upon the student enrollment.
All public high school dual enrollments will be in compliance with Florida Statutes and the annual dual enrollment agreement between the College and school board. If you are enrolled in a private school or a home education program, you may enroll in courses taken for high school and college credit and not be charged for registration, your textbooks may be provided at no cost to you.
Specific details may be obtained from the Parent and Student Guide posted on the College website, SFSC’s dual enrollment coordinator or admissions coordinator, your high school guidance office, or an SFSC campus/center director or academic advisor at southflorida.edu/future-students/dual-enrollment.
| I. |
Public Enrollment Procedure - Dual enrollment and early college program students at the local high schools are to complete the following steps to participate in college credit or technical coursework through SFSC. |
| |
| |
Academic Credit |
| |
| |
A. |
Admissions |
| |
1. |
If you are a high school student planning to enter dual enrollment and early college program classes, you need an unweighted GPA of 3.0 or above. You will be required to submit the online dual enrollment Admissions Application, and complete testing and the mandatory new student orientation prior to enrolling in academic coursework. |
| |
2. |
If you plan to use your national admissions test scores (ACT/SAT I®) to meet the College’s testing requirement, you must submit an official copy of them to the testing center. |
| |
3. |
Verification of your GPA and guidance office certification is required as part of the admissions application. |
| |
B. |
Testing |
| |
The SFSC Testing and Assessment Center will schedule testing dates for each district high school. The dates will be coordinated with appropriate staff at the high schools. The following is the general timeline to schedule testing: |
| |
1. |
Fall Term Enrollment - The Testing and Assessment Center will make arrangements with local high schools to schedule testing dates for any applicants planning to enter dual enrollment and early college program academic classes during the fall term. If you are a continuing student who needs to be retested, you may also test at this time, provided notification of your eligibility has been coordinated with the SFSC testing and assessment director. First Time in College (FTIC) students who are unable to participate in the spring testing will have the option of making arrangements through the SFSC Testing and Assessment Center by calling 863-784-7214. |
| |
2. |
Spring Term Enrollment - The Testing and Assessment Center will make arrangements with local high schools to schedule testing dates for any applicants planning to enter dual enrollment and early college program academic classes during the spring term. If you are a continuing student who needs to be retested, you may also test at this time, provided notification of your eligibility has been coordinated with the SFSC testing and assessment director. Any applicants unable to participate during these dates will have the option of making arrangements through the SFSC Testing and Assessment Center by calling 863-784-7214. |
| |
3. |
Retesting - You may retest after 30 days upon approval of the district school guidance office or the SFSC testing and assessment director. You will need to obtain a retake referral form from your high school guidance counselor or administration. This form needs to document state-required remediation activities in which you have participated. |
| |
4. |
Notification of Test Results - Test results will be forwarded to the appropriate high school and uploaded to the student information system. |
| |
C. |
Registration |
| |
1. |
When you have completed the admissions process, have evidence of appropriate test scores, have an unweighted GPA of 3.0 or above, and have completed the new student orientation, you will be eligible to register for academic dual enrollment and early college program courses. |
| |
2. |
The Advising and Counseling Center will coordinate with the appropriate high school guidance personnel to officially register eligible students. |
| |
D. |
New Student Orientation and Advising |
| |
1. |
All academic dual enrollment students are required to complete the GPS Student Orientation. Orientation is offered completely online. Instructions for completing GPS will be automatically provided to students via email as part of their application process. Students may not register for classes until all parts of the GPS orientation have been satisfactorily completed. |
| |
| |
Technical Credit |
| |
| |
A. |
Admissions |
| |
1. |
If you plan to enter technical dual enrollment, you need an unweighted GPA of 2.0 or above. You will be required to submit the Dual Enrollment Admissions Application prior to testing and/or enrolling in technical coursework. You will not be permitted to test or enroll in coursework prior to completion of the application process. |
| |
2. |
The application must list the technical program in which you plan to enroll. |
| |
3. |
The SFSC Admissions, Registration, and Records Office will coordinate admissions applications. |
| |
B. |
Initial Testing |
| |
1. |
If you are advised you need to take the TABE®, you must go to southflorida.edu/current-students/testing-center and read the information on this page. Once read, click on Schedule Your Test and follow the prompts for scheduling. |
| |
2. |
Test results will be forwarded to the appropriate high school and uploaded to the student information system. If you do not attain certification scores for your technical program, you will be assisted with options for remediation. |
| |
3. |
Retesting - Testing candidates may be retested 90 days after the initial administration using an alternate form and after obtaining a referral from the Advising and Counseling Center. All examinees must wait six months before retesting on the same form and obtain a referral from the Advising and Counseling Center. |
| |
C. |
Registration |
| |
1. |
When you have completed the admissions process, have evidence of appropriate test scores, have an unweighted GPA of 2.0 or above, and have completed the new student orientation, you will be eligible to register for technical dual enrollment courses. |
| |
D. |
New Student Orientation and Advising |
| |
1. |
All technical dual enrollment students are required to complete the GPS Student Orientation. Orientation is offered completely online. Instructions for completing GPS will be automatically provided to students via email as part of their application process. Students may not register for classes until all parts of the GPS orientation have been satisfactorily completed. |
| |
| II. |
Private/Home School - Dual enrollment and early college program students at private or home high schools use the following steps to participate in college credit or technical credit coursework through SFSC. |
| |
| |
A. |
Admissions |
| |
|
1. |
If you are a home school student in the sixth grade or higher, you may participate in dual enrollment provided you have a non-weighted 3.0 GPA and meet all test score requirements prior to scheduling classes for college transfer enrollment, and a non-weighted 2.0 GPA for technical course enrollment. You must submit an online Admissions Application prior to testing, new student orientation, and/or registration. |
| |
|
2. |
You will not be permitted to test or enroll prior to completion of the application process. |
| |
B. |
Testing |
| |
|
1. |
You must go to southflorida.edu/currentstudents/testing-center and read the information on this page. Once read, click on Schedule Your Test and follow the prompts for scheduling. You must schedule an appointment to take the college placement test prior to scheduling of classes. Test scores will be submitted to the registrar for interpretation and to determine whether you are eligible to enroll in classes. If you plan to use your national admissions test scores (ACT/SAT I®) to meet the College’s testing requirement, you must submit an official copy of them to the Admissions, Registration, and Records Office. |
| |
|
2. |
Retesting - You may retest after 30 days upon approval of the SFSC testing and assessment director. Evidence of remediation is required. |
| |
|
3. |
Notification of Test Results - Once testing is completed, your score report will be sent to the Advising and Counseling Center where they will instruct you on score requirements, along with retake and remediation options. |
| |
C. |
Registration |
| |
|
1. |
The registrar is responsible for approving your registration form each term. You may register during the regular scheduled dates at any SFSC campus. (Registration conducted at the other SFSC locations must have approval of the registrar.) |
| |
|
2. |
Parents or school officials must submit to the Office of the Registrar a list of courses you need to complete your high school education. You must be in the sixth grade or higher, have a minimum of 3.0 GPA for college transfer course enrollment, and 2.0 for technical course enrollment. |
| |
|
3. |
Transcripts of high school, home school, and/or private school courses previously taken must be submitted to the SFSC Office of the Registrar for evaluation prior to registration. |
| |
|
4. |
An updated transcript must be submitted to the registrar prior to each fall term registration. |
| |
|
5. |
Parents must submit a signed affidavit of Home Education Program approved by the county and/or a signed affidavit from private school administrators. Parents must sign the Home School Dual Enrollment Agreement. |
| |
D. |
New Student Orientation and Advising |
| |
|
1. |
All dual enrollment students are required to complete the GPS Student Orientation. Orientation is offered completely online. Instructions for completing GPS will be automatically provided to students via email as part of their application process. Students may not register for classes until all parts of the GPS orientation have been satisfactorily completed. |
Admission to Baccalaureate Programs
New students seeking admission to baccalaureate programs must submit an online Application for Admission to the College and pay the application fee, if required. If you are currently enrolled, you may submit a Change of Program form to your academic advisor. Applications are online at southflorida.edu. For admission to the bachelor programs, you must meet the specific program criteria:
| A. |
You must provide official transcripts from all previous educational institutions attended. |
| B. |
If you are a student with 60 semester credits and no degree, you will be evaluated on a case-by-case basis for determining admission to baccalaureate programs. |
| C. |
If you are an international student, you must have your transcripts evaluated by any member of the National Association of Credential Evaluation Services. |
Military and Veteran Recruiting
High-pressure recruitment tactics for the purpose of securing enrollments of active-duty military and veterans are banned. The College refrains from high-pressure recruitment tactics such as making multiple unsolicited contacts (three or more), including contacts by phone, email, or in-person, and engaging in same-day recruitment and registration for the purpose of securing active-duty military and veteran enrollments.
Admission and Program Support Documents
The following chart summarizes the supporting documents required for the various categories of eligibility (to be sent to the Admissions, Registration, and Records Office). All transcripts must be sent directly from the high school or college to the SFSC Admissions, Registration, and Records Office; copies will not be recognized as official.
) NOTES:
| 1. |
Required prior to advisement and registration for first term from each college or university attended. |
| 2. |
Required of all students planning to pursue a degree or enroll in college-level courses. (See exceptions under placement testing section.) |
| 3. |
Target scores used for acceptance into program. |
| 4. |
You must submit proof of high school completion or college credits prior to advisement/registration for your first term at SFSC. |
| 5. |
See program criteria. |
| 6. |
May be required for financial aid purposes. |
International Students
You are classified as an international student when you are an alien (non-United States citizen) who has a valid student visa and any other forms required by U.S. Citizenship and Immigration Services.
If you are an applicant who is foreign born but has resident alien status, been granted amnesty, been accepted as a refugee, and/or an asylum-seeker, you are not considered an international student and must present proof of status and Florida residency to be admitted and enrolled in degree, certificate, or adult education programs. Contact the Admissions, Registration, and Records Office at 863-453-6661 for additional information.
Admission of International Students - File required application papers and credentials at least three months prior to the term for which you plan to register. Required forms and credentials include:
| 1. |
A completed Application for Admissions. |
| 2. |
Official copies of all secondary school and college records in the original language and certified translations into the English language by a translation certifying organization. High School transcripts must be evaluated, at your expense, on a document-by-document basis and must show the equivalent of a U.S. high school diploma. Foreign secondary schools and college transcripts are required to be evaluated on a course-by-course basis. |
| 3. |
Applicants whose native language is not English must provide evidence of proficiency in speaking, writing, and understanding the English language. This requirement may be met by submitting official scores from the Test of English as a Foreign Language (TOEFL) or the International English Language Testing System (IELTS). A minimum score of 61 on the internet-based TOEFL (iBT) or a Band 6 on the IELTS is required. Test scores must be sent directly to the SFSC Admissions Office. The institutional code for SFSC is 5666. It is the applicant’s responsibility to register for the appropriate test and arrange for the official results to be submitted to SFSC. Information about the TOEFL can be found at ETS.org and information about the IELTS is available at ielts.org. |
| 4. |
Provide a certified declaration of finances that indicates you will have sufficient funds to pay full matriculation and tuition fees, textbooks, and living and transportation expenses. The funds must be available to you each term of enrollment. Estimated expenses for a 12-month period are $24,000 U.S. currency. |
When all required forms and credentials have been received, SFSC will issue you an I-20 form for obtaining a student visa. International students must meet all other admission requirements.
Resident Information and Requirements
You will be classified as either resident or nonresident for the purpose of assessing tuition fees in public colleges and universities (Section 1009.21, Florida Statutes (F.S.) under Rule 6A-10.044, Florida Administrative Code (F.A.C.)).
| I. |
Definitions under this section: |
| |
A. |
“Parent” means either or both parents of a student, or any legal guardian of a student. |
| |
B. |
“Dependent child” means any person, whether or not living with his or her parent, who is eligible to be claimed by his or her parent as a dependent under the federal income tax code. |
| |
C. |
“Institution of Higher Education” means any of the constituent institutions under the jurisdiction of the State University System or the Florida College System. |
| |
D. |
“Legal resident” or “resident” means a person who has maintained his or her residence in this state for the preceding year, has purchased a home which is occupied by him or her as his or her residence, or has established a domicile in this state pursuant to Section 222.17, Florida Statutes (F.S.). |
| |
E. |
“Resident for Tuition Purposes” means you qualify as provided in subsection (II) for the resident tuition rate. |
| |
F. |
“Nonresident for Tuition Purposes” means you do not qualify for the resident tuition rate. |
| |
G. |
“Initial enrollment” means the first day of class at an institution of higher education. |
| II. |
To qualify as a resident for tuition purposes - Rule 6A-10.044, Florida Administrative Code (F.A.C.) requires that each student submit FORM FRD-1 Florida Residence Declaration for Tuition Purposes which is posted on the College homepage under Future Students - Apply: |
| |
A. |
If you are a dependent, your parent(s) must have established and maintained legal residence in this state for at least 12 consecutive months immediately prior to your qualification. A copy of your parents’ most recent tax return or other documentation may be requested to establish dependence/independence. |
| |
B. |
You or your parents - if you are a dependent, you will be required to make a statement as to the length of your residence in the state or the presence of your parent(s) in the state during the past 12 months was for the purpose of maintaining a permanent residence rather than for the purpose of maintaining a mere temporary residence or abode incident to enrollment in an institution of higher education. Florida Statutes require that you demonstrate 12 months of continual residency solely for the purpose of maintaining permanent residency. |
| |
C. |
You may qualify as a resident for tuition purposes if you live with an adult relative who has maintained legal residence in Florida for at least 12 consecutive months immediately prior to your qualification, provided you have resided continuously with this relative for three years immediately prior to your qualification. The adult relative must have exercised day-to-day care, supervision, and control over you. |
| III. |
You will not be classified as a resident for tuition purposes and will not be eligible to receive the resident tuition rate until you have provided clear and convincing documentation related to legal residence. |
| IV. |
Living or attending school in Florida does not establish a legal residency for tuition purposes. Maintaining a legal residence in Florida requires substantial physical presence as a condition. |
| V. |
You will be considered eligible to establish Florida residency for tuition purposes if you are a non-U.S. citizen such as a permanent resident, parolee, asylum-seeker, refugee, or other permanent status person (e.g., conditional permanent residents and temporary residents), who has applied to and has been approved by the U.S. Citizenship and Immigration Services (USCIS) with no date certain for departure. For a list of eligible visa categories, contact the Admissions Office at 784-7405. |
| VI. |
If you physically reside in Florida, you may be classified as a resident for tuition purposes if you marry a person who meets the 12-month residency requirement under Section II and who is a legal resident of this state. |
| VII. |
If you are a nonresident, who marries a legal resident of this state or marries a person who later becomes a legal resident, you may, upon becoming a legal resident of this state (and relinquishing all legal ties to any other state), become eligible for reclassification as a resident for tuition purposes upon submitting evidence of your own legal residency in the state, evidence of your marriage to a person who is a legal resident of the state, and evidence of your spouse’s legal residence in the state for at least 12 consecutive months immediately preceding the application for reclassification. |
| VIII. |
You will not lose your resident status for tuition purposes solely by reason of serving, or, if you are a dependent, by reason of your parent’s or parents’ serving, in the armed forces outside this state. |
| IX. |
If you have been properly classified as a resident for tuition purposes but, while enrolled in an institution of higher education in this state, you lose your resident tuition status because you (or if you are a dependent, your parent or parents) establish domicile or legal residence elsewhere, you shall continue to enjoy the resident tuition rate for a statutory grace period, which period shall be measured from the date on which the circumstances arose that culminated in the loss of resident tuition status and shall continue for 12 months. However, if the 12-month grace period ends during an academic term for which you are enrolled, such grace period shall be extended to the end of that academic term. |
| X. |
If you cease to be enrolled at, or graduate from, an institution of higher education while classified as a resident for tuition purposes and subsequently abandon your domicile in this state, you will be permitted to re-enroll at an institution of higher education in this state as a resident for tuition purposes without the necessity of meeting the 12-month duration requirement of this section whether you have re-established your domicile in this state within 12 months of such abandonment and continuously maintained the re-established domicile during the period of enrollment. |
| XI. |
You will be classified as a resident for tuition purposes (documentary evidence is always required when, in the judgment of the reviewing officials, inconsistencies with Florida residency for tuition purposes appear in the application materials and documents): |
| |
A. |
If you are an active-duty member of the armed services of the United States residing or stationed in Florida (and spouse/dependent children) or military service member not stationed in Florida whose home of record or state of legal residence certificate, DD Form 2058, is Florida; |
| |
B. |
If you are an honorably discharged veteran of the U.S. Armed Forces, U.S. Reserve Forces, or the National Guard or student who uses educational assistance provided by the U.S. Department of Veterans Affairs who physically resides in Florida while enrolled at SFSC; |
| |
C. |
If you are a full-time instructional and administrative personnel currently employed by state public schools, colleges, and institutions of higher education as defined in Section 1000.04, Florida Statutes (F.S.), and your spouses and dependent children; |
| |
D. |
If you are a student enrolled in the Florida Prepaid College Program; |
| |
E. |
If you are a full-time employee of a state agency or a political subdivision of the state when your fees are paid by the state agency or political subdivision for the purpose of job-related law enforcement or corrections training; |
| |
F. |
If you are a citizen of the United States or lawfully present in the United States and: |
| |
|
1. |
Attended a secondary school in this state for three consecutive years immediately before graduating from a high school in this state; |
| |
|
2. |
Apply for enrollment in an institution of higher education within 24 months after high school graduation; and |
| |
|
3. |
Submit an official Florida high school transcript as evidence of attendance and graduation. |
| XII. |
Residency Reclassification Determination. If you are classified as a nonresident for tuition purposes, you may become eligible for reclassification as a resident for tuition purposes by presenting a minimum of three (3) documents identified in Section 1009.21(3)(c)(1) or 1009.21(3)(c)(2), Florida Statutes (F.S.), that convincingly demonstrate the establishment of your permanent legal residence in Florida other than for the sole purpose of pursuing a postsecondary education. Documentation must demonstrate that you have maintained legal residence in Florida for at least 12 consecutive months prior to your initial enrollment in an institution of higher education. |
| XIII. |
Residency Reclassification Appeal Process. If you are otherwise unable to qualify for in-state classification by the guidelines posted in the College Catalog, you may submit a petition to the Residency Appeals Committee in the Office of the Registrar. You must include documentation evidencing the grounds on which the appeal for in-state classification is based. Petition forms are available at any campus or center and on the Office of the Registrar’s webpage. The Residency Appeals Committee will render a final residency determination in writing including the reason for the determination. |
Testing and Assessment Center
The SFSC Testing and Assessment Center schedules and administers placement tests and other assessment batteries to students at all levels. Counselors, instructors, and community agencies may refer students as well as provide implications and discussion of test results. Contact the Testing and Assessment Center at 863-784-7214 to schedule your exam.
Placement Testing
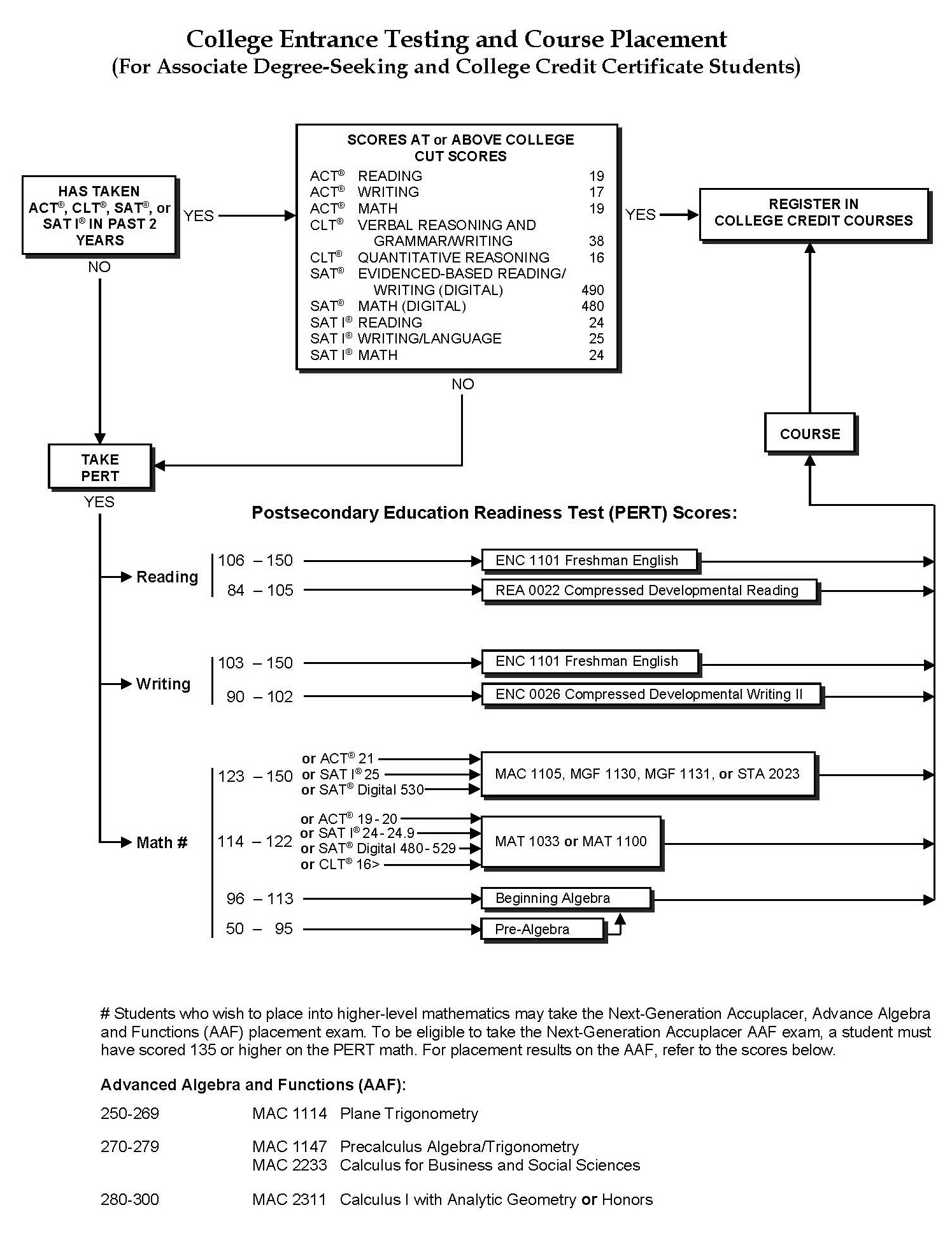
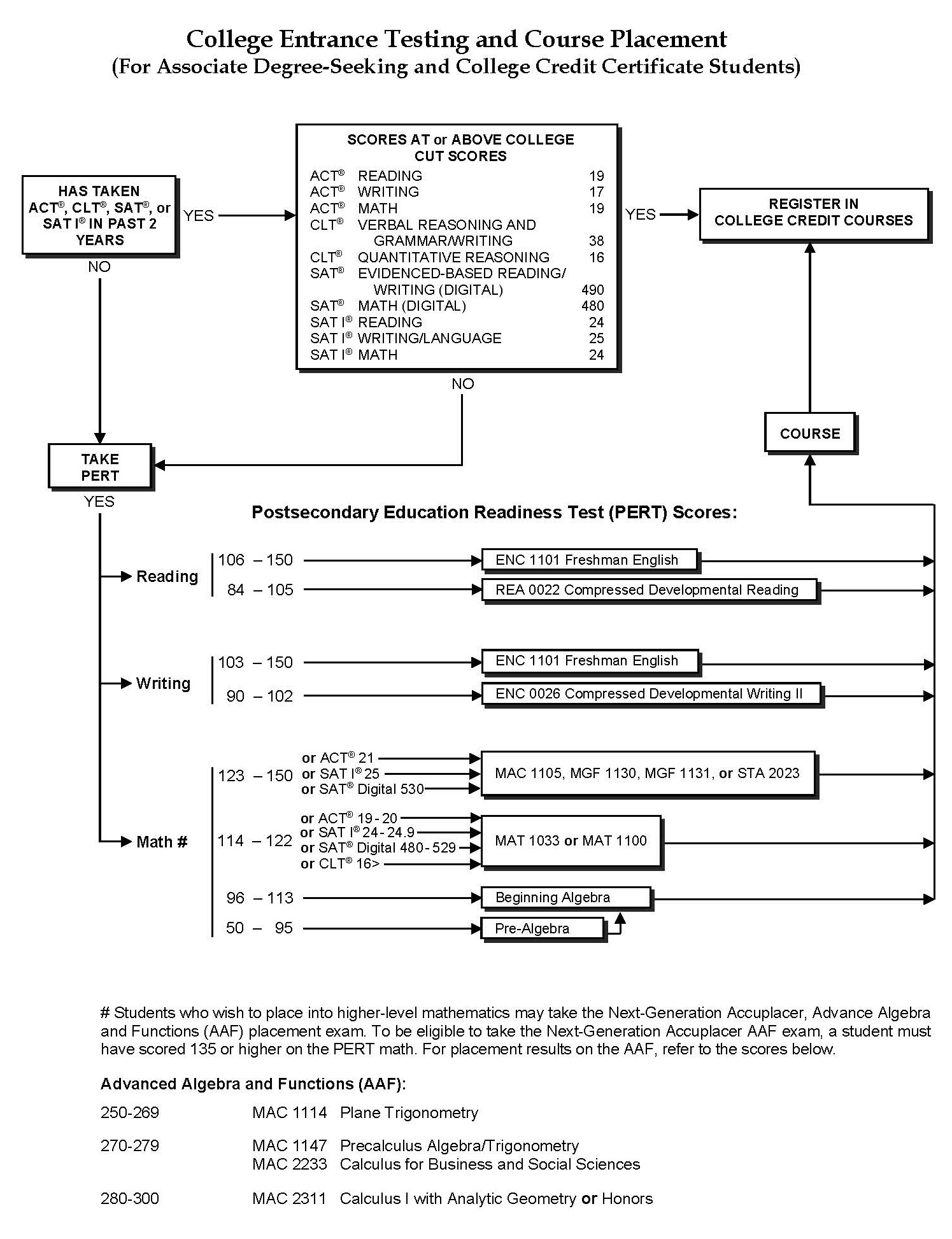
If you enroll in an associate degree program and some certificate programs, you may be required to have college placement test scores on file or take the placement test given by the College as a part of the admissions procedure. This placement test includes mathematics, reading, and English language skills.
You are not required to take the test, if you:
- have an A.A. degree or higher;
- are non-degree seeking;
- are registering for 11 credit hours or fewer (college-level math and English courses require placement test scores);
- are a transfer student who has completed all required college-level English and math courses;
- have records that indicate you have already taken one of the state-mandated tests within the last two years; or
- entered the ninth grade in a Florida public school in the 2003-04 school year, or any year thereafter, and earned a Florida standard high school diploma, or if you are currently serving as an active-duty member of any branch of the U.S. Armed Services, you will not be required to take the common placement test and will not be required to enroll in developmental education instruction at a Florida College System institution. If you are not required to take the common placement test and not required to enroll in developmental education, you may opt to be assessed and enroll in developmental education. Always check with your Advisor regarding placement test requirements. Call the Testing and Assessment Center for more information at 863-784-7214.
The placement test is not a pass/fail test. Students are encouraged to review before the test. Information about review materials is available on the Testing and Assessment Center webpage at southflorida.edu. You should contact the Advising and Counseling Center for interpretation of placement scores at 863-784-7131. SFSC advisors use test results to determine your academic level upon entering and to place you in the proper course selections.
The placement tests accepted by SFSC are those designated by the State Board of Education. These are the college entrance exams of the American College Testing Program (ACT), the Scholastic Aptitude Test (SAT I®), Classic Learning Test (CLT), and the Postsecondary Education Readiness Test (PERT). Placement scores that are over two years old at the time of admission with no course enrollment cannot be accepted.
If you have not met the State Board of Education placement scores on any part of the ACT or SAT I® and are not exempt from placement testing, you must take the respective part or parts of a college placement test.
GED® Testing
See Adult Education Section of this College Catalog.
College Credit Certificate Testing
For advising purposes, if you enroll in a college credit certificate program, the TABE® is recommended.
If you have an associate degree or higher, or have scores at or above the state minimum acceptable scores on the ACT, SAT I®, or college placement test within the past two years, you are exempt from college credit placement testing and from the TABE® requirement as outlined in Rule 6A-10.040, Florida Administrative Code (F.A.C.).
Career Certificate Testing
If you are in Career Certificate programs of 450 or more contact hours, you may be required to take the TABE® or any other test designated by the Florida Department of Education within the first six weeks after admission to the program.
If you do not meet the minimum basic skills grade levels scale scores for your Career Certificate program, you will be given the opportunity to upgrade your skills in reading and mathematics before the completion of your Career Certificate program. You must meet the minimum basic skills grade level for your Career Certificate program in order to be eligible for a career certificate as outlined in Rule 6A-6.0571, Florida Administrative Code (F.A.C.).
Placement test scores are valid for two years. Completion of a prescribed remediation program consisting of at least 60 hours of instruction is suggested prior to retesting. A minimum 3 months waiting period after initial testing or between retests is required if remediation is not documented. An alternate form of the TABE® is used for retests.
The same TABE® Form and Level should not be administered within a six-month period. Remediation should include 60 hours of instruction between pre- and post-testing, using an alternate version of the TABE® and at least 120 hours of instruction when using the same level and same form. If no formal instruction is provided or documented, six months must elapse for taking the test at the same level and using the same form.
College Developmental Course Rule
Your placement test scores may require that you enroll in a developmental mathematics, writing, or reading course. It is important for your college success that you demonstrate sufficient mathematics, writing, and reading proficiencies.
When you enroll for SFSC courses, your proficiencies in these areas may be assessed. If your scores on a college placement test are below college-level for mathematics and/or communication, you may have to pursue one of the two alternatives to college developmental instruction:
| 1. |
College developmental courses or |
| 2. |
Proprietary college developmental courses |
You may be required to enroll in college developmental courses if your college placement test scores are below the cut scores required for college-level English, reading, and math. Your PERT® scores will then determine proper placement in college developmental instruction (see College Entrance Testing and Course Placement Procedures chart).
You may attempt a college developmental course three (3) times at SFSC. An attempt is defined as “remaining enrolled past the end of the Drop with Refund Period” (see College Calendar). If you do not successfully pass your third attempt, you will not be permitted to continue in college developmental courses and enroll in any college credit courses simultaneously. You will be given an opportunity to participate in an alternative program designed to work with you on an individual basis to prepare you to re-enter the regular college-level curriculum, or you may petition to enroll in a fourth attempt in college developmental courses. If you have not successfully completed a college developmental course after the second attempt and desire to continue your efforts toward an associate degree, you will be required to pay the full cost of instruction, which is equal to the nonresident course fees. An exception to the fee may be granted under extenuating circumstances.
You may not withdraw from a third or fourth attempt of a college developmental course.
College Entrance Testing and Course Placement
You may be required to take an entrance placement test. Career Certificate programs have a grade level exit requirements in English and math on the TABE® for you to graduate from the program. If you have questions regarding the testing program, contact a counselor/advisor, the Testing and Assessment Center, program manager, or a campus/center director for more information.
If you are a degree-seeking student with college placement test scores that suggest you enroll in one or more college developmental courses, you may either remediate using the TLC resources and retest or enroll in the college developmental courses required of you. If you choose the latter route, you may also concurrently enroll in college credit courses that do not require the skills addressed in your college developmental courses. If your college placement test scores require that you enroll in more than one developmental course, you must also enroll in SLS 1501 College Success . SLS 1501 provides three hours of elective college credit towards a degree. This requirement is to provide you with life skills and study skills to enhance your learning experience.
Once you begin taking a college developmental course, you may retest at any time. If you meet the required college placement test score, you must complete the class or withdraw before the last date to drop with refund. If you stop attending and do not withdraw, you will receive a failing grade for the class. Should you fail to successfully complete a college developmental class, you may retest and, if you achieve the requisite college placement test score(s), you may advance to the appropriate college developmental class or a college transfer class if there is no higher college developmental class to be completed. Any student with a college placement test score that indicates assignment to a college developmental sequence may remediate utilizing the TLC web-based resources. Upon completion, that student may retest. If your college placement test retest is successful, the new score replaces your original one.
College Entrance Testing and Course Placement Chart (ACT, CLT, SAT, PERT, and Accuplacer)

Developmental Education Exemption Statement
You are exempt from taking placement tests and enrolling in developmental education at any Florida College System institution, if you:
- Entered ninth grade in a Florida public school in the 2003-2004 school year, or any year thereafter, and earned a Florida standard high school diploma.
- Served or you are serving as an active-duty member of any branch of the United States Armed Services.
The following students are not eligible for the Developmental Education Exemption and will be required to take the PERT placement test and enroll in the courses indicated by the placement score(s):
- Students who graduated from an out-of-state high school
- Home schooled students
- Private school students
- GED students
Transfer Students
If you are a degree-seeking student, you must have an official transcript sent from each institution of higher education attended to the Admissions, Registration, and Records Office prior to advisement/registration for your first term at SFSC.
An evaluation of credit course transferability is made soon after you are admitted to SFSC and the official transcript is received. If you wish to apply for academic amnesty, see the Academic Regulations section of this College Catalog. Placement scores, if required, must be completed within the last two years.
Transfer credit is defined as follows (criteria will apply where relevant):
| 1. |
All incoming transfer credit is evaluated by the Office of Admissions, Registration, and Records based on several criteria. All lower-division credits (and upper-division credits for bachelor’s degree students) awarded by a regionally accredited agency transfer to SFSC. |
| 2. |
If you are admitted in good standing or on probation, you will receive credit for courses in which you have made a grade of D or higher at another college or university, except for courses used as writing and computation course requirements, provided the courses are relevant to the instructional program of SFSC (see Writing and Computation Requirements in this College Catalog). |
| 3. |
If you are a transfer student, admitted on probation, and fail to earn a 2.0 GPA on work attempted during your first term at SFSC, you will be subject to suspension (See Academic Suspension ). |
Transient Student from SFSC
Requirements for an SFSC student to be eligible to be transient:
| 1. |
Have taken classes within the last three consecutive terms or have an admission application that is less than 1 year old |
| 2. |
Have completed 15 credit hours at SFSC |
| 3. |
Have prior approval from the Office of the Registrar or designee |
| |
| NOTE: SFSC students wanting to take transient courses at another public Florida institution must apply for approval through floridashines.org. |
Transient Student from an Outside Institution
If you are currently enrolled at another college or university and wish to take courses from SFSC and apply the credit earned to a program at your home institution, you must obtain a transient student approval form from your institution. This approval will ensure that you are registering for appropriate courses at SFSC which will be accepted by your home institution. Completion of the form permits you to attend SFSC without submitting transcripts and/or taking the placement test from SFSC. Incoming transient students from another public Florida institution are required to apply through FloridaShines. Out-of-state transient students are required to complete an online Application for Admission, available on our SFSC website at southflorida.edu.
|